BURSA ARENA / Haber Merkezi
23 Aralık 2016 tarih ve 29927 sayılı Mükerrer Resmi Gazete'de yayımlanan «Hassas Su Kütleleri İle Bu Kütleleri Etkileyen Alanların Belirlenmesi Ve Su Kalitesinin İyileştirilmesi Hakkında Yönetmelik» ile hassas ve az hassas alanlar ilan edilmiştir.
Marmara Denizi kıyılarında yeşil renkli olan kıyılar hassas alan ve mavi kıyılar az hassas alan olarak ilan edilmiştir.
![]()
Harita 1. Marmara Denizi kıyı alanlarında su kütleleri bazında hassas/az hassas su kütlelerinin gösterim
Harita 1'de YEŞİL ile gösterilen hassas alanlardaki İstanbul, Kocaeli, Bursa, Tekirdağ, Balıkesir, Yalova ve Çanakkale illerinde oluşan noktasal kaynaklı (evsel ve endüstriyel) ve yayılı alanlardaki atık sular (tarım ve hayvancılık gibi) "Evsel Atık Su Deşarjlarında Su Kirliliği Kontrolü Yönetmeliği"nde Tablo 22'de verilen sınır değerlerine göre değil, 1 Ocak 2018'den itibaren Kentsel Atık Su Arıtma Yönetmeliği Tablo 2'de verilen sınır değerlerine göre ileri kademe arıtma yapıp deşarj edilmek zorundadır (Tablo 1).
Marmara Denizi'ne kıyısı olan belediyelerin nüfusu 100 binin üzerindedir.
Diğer yandan Harita 1'de MAVİ ile gösterilen az hassas alanlarda noktasal (evsel ve endüstriyel) atık sular "Su Kirliliği Kontrol Yönetmeliği'ndeki Tablo 22'de belirtilen sınır değerlerine göre atık sular ön (fiziksel) arıtma yapıldıktan sonra derin deniz deşarj edilmektedir.
![]()
Tablo 1. Az Hassas Alan ve Hassas Alan Sınır Değerleri
Tablo 1 incelendiği zaman Tablo 22'de verilen kirletici sınır değerlerine göre Tablo 2'de verilen sınır değerlerini sağlamak için noktasal kaynaklı (evsel ve sanayi) atık suların en az yüzde 70 ile yüzde 100 oranında ileri kademe (azot ve fosfor dahi) arıtılması gerekir.
Yeşil ile gösterilen hassas alanlardaki tüm belediyelerin ve sanayilerin atık sularını, 2018 yılına kadar, Tablo 1'de verilen hassas alan sınır değerlerine göre atık suları ileri kademe arıtmaları gerekirdi.
Marmara Denizi'nin kuzey kıyıları, evsel ve sanayi tesisleri atık suları baskısı altında iken güney şelfinde yayılı (tarım arazileri ve hayvancılık atık suları gibi) kaynak etkisinin daha baskın olduğu bilinmektedir.
Örneğin, Marmara Denizi'ne dökülen Susurluk, Biga ve Gönen Nehirleri güney şelfinde yer almaktadır.
Endüstrinin en yoğun olduğu İstanbul, İzmit, Tekirdağ ve Bursa illeri Marmara Denizi havzaları içerisinde yer almaktadır.
İstanbul kıyıları
Marmara Denizi'nde atık su arıtma tesisleri açısından en büyük sorun, nüfusu 15.519.262 (TUİK 2019 verilerine göre) kişiye varan İstanbul İlindeki atık suların ön arıtma ve birincil arıtma sonrasında derin deniz deşarjıyla uzaklaştırılmasıdır.
Marmara havzasındaki nüfusun yaklaşık yüzde 60 İstanbul'da yaşamaktadır.
İstanbul evsel atık su yoğun bölgedir.
İstanbul'da tüketilen günlük su miktarı 2,8 ila 2,9 milyon ton (metreküp) arasında değişmektedir.
İstanbul'da Marmara Denizi'ne günlük ortalama 2,5 milyon ton evsel atık su deşarj edilmektedir.
İstanbul'da atık suların yüzde 99'u bazıları fiziksel ve diğerleri bölgelerde ise birincil arıtma yapıldıktan sonra Marmara Denizi'ne derin deşarj yapılmakta ve atık su arıtma tesislerinin büyük kısmı sadece karbon giderimi yapılan birincil arıtmadır.
İstanbul'da Tuzla, Beykoz, Kadıköy, Üsküdar, Yenikapı, Balta limanı, Küçükçekmece, Büyükçekmece, Silivri, Selimpaşa ve Çanta bölgelerinden evsel atık sular derin deniz deşarjı yapılmaktadır.
Üsküdar, Yenikapı, Kadıköy, Balta limanı, Küçükçekmece'de atık sular ön arıtma (fiziksel arıtma) yapıldıktan sonra Marmara Denizi'ne derin deşarj yapılmaktadır.
Diğer bölgelerde ise atık sular sadece karbon giderimi (birincil arıtma) yapıldıktan sonra Marmara Denizi'ne derin deşarj edilmektedir.
Baltalimanı'nda ileri kademe arıtma (azot, fosfor giderimi dahil) tesisi inşaatı devam etmektedir.
Endüstriyel tesislerin yoğun olduğu Büyükçekmece, Küçükçekmece, Tuzla ve Pendik endüstriyel atık su faaliyetleri yoğundur.
İstanbul sahilleri hassas alandır. Tablo 1'de verilen hassan alan sınır değerlerine göre evsel ve endüstriyel atık sular ileri kademe arıtılmalıdır.
Endüstrinin en yoğun olduğu İzmit ve Bursa illeri de Marmara Denizi havzaları içerisinde yer almaktadır.
İzmit Körfezi atık su arıtma tesisleri açısından yeterli kapasitede olup, endüstri ve liman faaliyetleri açısından çok yoğundur.
İstanbul bölgesindeki Marmara Denizi'ne deşarj edilen dere ve nehir havzaları, hassas alan edilmeli ve tüm atık sular ileri kademe arıtıldıktan sonra denize deşarj edilmelidir.
Kocaeli kıyıları
Yarı kapalı bir su havzası özelliğinde sahip olduğu için çok daha hassas alandır.
Kocaeli bölgesindeki evsel atık suların büyük kısmı birincil arıtmanın ilerisinde ileri kademe arıtma (azot ve fosfor giderme) yapılması gereklidir.
Bu bölgede evsel atık sular ileri kademe arıtıldıktan sonra UV ışınları ile dezenfekte edildikten sonra park-bahçelerde sulama suyu ve su yoğun sanayide kullanma suyu olarak kullanılabilir.
Bu tür iyi uygulamalar yapıldığı zaman Kocaeli sahillerinden Marmara Denizi'ne ileri kademe arıtılmış atık su deşarjı sıfırlanacaktır.
Körfez'in kuzeyinde bulunan Dilderesi, Bayramoğlu gibi dereler üzerinde yoğun endüstriyel tesislerin atık suları mevcuttur. Bu bölgedeki tesislerin atık suları ileri kademe arıtma yapılması gereklidir.
Kocaeli bölgesindeki Marmara Denizi'ne deşarj edilen dere ve nehir havzaları, hassas alan edilmeli ve tüm atık sular ileri kademe arıtıldıktan sonra denize deşarj edilmelidir.
Bursa kıyıları
Körfez'e kıyısı olan ilçelerden Gemlik'te atık sular ön (fiziksel) arıtım sonrası derin deniz deşarjı yapmaktadırlar. Atık su arıtma tesislerinin ikincil ya da ileri kademe arıtmaya geçmesi gerekmektedir.
Küçük Kumla ve Kurşunlu ilçeleri ikincil atık su arıtmaları 2018 yılında devreye girmiştir. Mudanya İlçesi'nin ise ileri kademe atık su arıtma tesisi de 2018 yılı devreye alınmıştır.
Gemlik bölgesinde yoğun olarak yapılan zeytincilik nedeni ile kirlilik yükü çok yüksek karasu kirliliği baskısı altındadır.
Nilüfer Çayı üzerinde yoğun endüstriyel tesis baskısı bulunmaktadır. Nilüfer Çayı Susurluk Nehri'ne denize dökülmeden önce bağlanmaktadır. Nilüfer Çayı, Susurluk Nehri'nin denize dökülmeden önce nehire bağlanmaktadır.
Susurluk Nehri gerisinde kentsel ve endüstriyel atık suların yoğun baskıları altındadır. Susurluk, Nilüfer ve Karsak gibi önemli derelere, çeşitli işletmelerin ve yerleşim alanlarının atık sularının arıtılmadan deşarj edilmesi özellikle Gemlik Körfezi civarında atık su baskısı oluşturmaktadır.
Gemlik'ten dökülen Karsak dereside iç Körfez için kirlilik baskısı oluşturmaktadır.
Susurluk Nehri, fiziksel koşullara bağlı olarak Gemlik Körfezi'ne yönelmektedir. Susurluk Nehri'nin taşıdığı kirlilik yükleri Körfeze ciddi kirlilik baskı oluşturmaktadır.
Bursa bölgesindeki Marmara Denizi'ne deşarj edilen dere ve nehir havzaları, az hassas alansa acilen gerekli incelemeler yapılarak hassas alan olarak ilan edilmeli ve tüm atık sular ileri kademe arıtıldıktan sonra denize deşarj edilmelidir.
Bursa bölgesi, noktasal ve yayılı atık su kirlilik alanıdır.
Balıkesir kıyıları
Balıkesir, tarım alanlarının geniş alana yayılmasından ötürü tarıma dayalı zeytin, zeytinyağı, salça, konserve, tavukçuluk, yumurta, yem, un ve süt mamulleri gibi sanayiler son derece yaygındır.
Bandırma ve Erdek Körfezlerinin atık suları ön arıtım (fiziksel arıtma) sonrasında derin deniz deşarjı ile uzaklaştırılmaktadır. Körfezlerin atık suları ileri kademe arıtılmalıdır.
Gönen ilçesinde süt ve deri endüstrisi bulunmaktadır. Kirlilik yükü yüksek süt endüstrisi atık suları hassas alan sınır değerlerine göre ileri kademe arıtılmalıdır.
Körfezin kuzeyindeki Paşalimanı Adası, Marmara Denizi'nde deniz çayırı Posidonia oceanica'nın görüldüğü tek alandır. Atık su deşarj baskılarına karşı hassas tür olan P. oceanica türünün kaybolmaması kaybetmemesi ve örtü alanının büyümesi açısından atık suların ileri kademe azaltılması önemlidir. Bu alanlar izlemeye alınmalıdır.
Körfez içerisine Biga ve Gönen nehirleri dökülmektedir. Balıkçılık açısından Erdek Körfezi önemli bir alandır ve ticari balık türleri tarafından üreme veya yuvalama alanı olarak kullanılmaktadır.
Erdek Körfez'inde bulunan Biga ve Gönen Nehirleri yoğun tarım ve hayvancılık gibi yayılı atık suların baskısı altındadır. Nehrin taşıdığı azot ve fosfor kirlilik yükleri körfezde kirlilik baskı unsurudur.
Erdek'te aşırı nüfus artışından dolayı yaz turizmi baskısı mevcuttur.
Balıkesir bölgesindeki tüm sahiller ve Marmara'ya deşarj edilen dere ve nehir havzaları gerekli incelemeler ve çalışmalar yapıldıktan sonra hassas alan edilmeli ve tüm atık sular ileri kademe arıtıldıktan sonra denize deşarj edilmelidir.
Çanakkale kıyıları
Biga Çayı evsel atık suların baskısı altındadır.
Çanakkale'de Çan ve Biga ilçelerinde sanayi faaliyetleri yoğunlaşmıştır. Çan ve Biga deri, demir çelik, süt ve zeytinyağı endüstrileri mevcuttur. Biga'da bulanan OSB'lerde AAT bulunmamaktadır.
Biga çayına deşarj olan atık sular hem Erdek Körfezi hem de akıntı ve rüzgar koşullarına bağlı olarak Çanakkale giriş kısmını etkilemektedir.
Çanakkale bölgesinde tarımsal ve hayvancılık faaliyetlerin yoğundur. Nitrat, Fosfat ve Pestisit kirliliği açısından Biga Çayı'nın izlenmesi gereklidir.
Çanakkale bölgesindeki sahiller ve Marmara'ya deşarj edilen dere ve nehir havzalarında hassas alan belirleme çalışmaları yapılmalı ve bölgenin hassas alan olup olmayacağı ortaya konulmalıdır.
Tekirdağ kıyıları
Tekirdağ'da kanalizasyon nüfusun yüzde 90'ına hizmet vermektedir.
Merkez ilçesini kapsayan 2017 yılında Batı İleri atık su arıtma tesisi devreye girmiştir. Arıtılmış suyun izlenmesinin yapılması gereklidir.
İleri kademe atık su arıtma tesisinin devreye girilmesi ile ilgili Tekirdağ İlinin arıtım tesislerinin hizmet ettiği nüfus artmıştır.
Tekirdağ'da sanayinin büyük kısmı havza dışında yer almaktadır. Ancak, tekstil, deri, boya, plastik, içki, içecek, kimya, cam kağıt ve benzeri fabrikalarının atık suları birleştirilerek Yenice'den Marmara Denizi'ne verilmektedir.
Deşarj hizmete girmesi sonrasında iyi ve orta kalitede çıkan MRM09 nolu (Giriş Haritası) bölgenin deniz suyunun kalitesinin kötüye gitmesi kuvvetle muhtemeldir.
Şarköy ve Hoşköy, Marmara Denizi'nde referans olarak kullanılabilecek özellikte olup, söz konusu bölgelerdeki olağan durumun korunması önerilmektedir.
Şarköy, Marmara Ereğlisi ve Tekirdağ merkez de tarımsal faaliyetler alıcı su ortamlarını tehdit etmektedir. Bu bölgede hayvancılık yoğun olarak yapılmaktadır. Özellikle Şarköy ilçesinde özellikle yaz aylarında turizm faaliyetleri yoğundur.
Tekirdağ bölgesindeki sahiller ve Marmara'ya deşarj edilen dere ve nehir havzaları gerekli incelemeler ve ölçüler yapıldıktan az hassas alanlar, hassas alanlara dönüştürülmeli ve tüm atık sular ileri kademe arıtıldıktan sonra denize deşarj edilmelidir.
Yalova kıyılar
Kimya sanayi, ileri kompozit malzeme sanayi, kağıt sanayi ve ambalaj sanayi gibi büyük sanayiler ile küçük işletmeler bulunmaktadır. Bölgedeki sanayiler, atık sularını ileri kademe arıtmaları gerekir.
Yalova, turizm açısından yoğun olan bir ildir. Yalova'da Tersane mevcuttur ve deşarj edilen kirlilik durumunun incelenmesi gerekmektedir.
Yalova kıyı suları su kalitesi açısından ötrofik durum hakimdir.
Yoğun evsel ve sanayi atık suları baskısı altında olan Yalova bölgesindeki sahiller ve Marmara'ya deşarj edilen dere ve nehir havzaları gerekli incelemeler ve ölçümler yapıldıktan sonra hassas alan edilmeli ve tüm atık sular ileri kademe arıtıldıktan sonra denize deşarj edilmelidir.
Ötrofikasyon
Su Çerçeve Direktifinde (SÇD) belirtilen "ötrofik" terimi doğal trofik durumun insan kaynaklı baskılar nedeniyle dengeden çıktığı durumu ifade etmek için kullanılmaktadır.
SÇD'ye göre "insan kaynaklı" ötrofikasyon anlayışı, SÇD'nin türe özgü referans koşullar doğrultusunda yaptığı yüzey suları ekolojik durum sınıflandırmasıyla uyumludur.
Örneğin herhangi bir baskı unsuru (bu durumda azot ve fosfor gibi besin elementleri girdileri) biyolojik kalite unsurlarında (fitoplankton kompozisyonu, miktarı ve biyokütlesinde) olumsuz değişime neden olmaktadır.
Bu değişim de fiziko-kimyasal kalite unsurları (saydamlık, oksijen durumu) ve diğer biyotalar (makro omurgasızlar) üzerinde dolaylı etkiler gösterebilmektedir.
"Ötrofik" terimi istenmeyen etkilerin sıklıkla görüldüğü bir durumla özdeşleştirilebilir; diğer taraftan, "yakın gelecekte ötrofik hale gelebilir" terimi istenmeyen etkilerin görülmesinin gerekli olmadığı, ama ekolojik değişim düzeyinin bu tür etkilerin ortaya çıkabileceğini gösterdiği bir durumdur.
Ötrofikasyonun kıyı ekosistemlerine en çarpıcı olumsuz etkileri; su berraklığının azalması, birincil üretimdeki artış, su bitkilerinin tür dağılımda belirgin azalma, organizmalar arasındaki dengenin bozulması, dip sularında oksijen azalması (hipoksi), N/P/Si oranlarında değişim ve sonuçta besin ağında belirgin değişiklikler gibi birçok olumsuz etkinin kısa sürede gözlenmesidir.
Hassas alanlar, (tatlı su kütleleri, haliçler ve kıyı suları da dahil olmak üzere) ötrofikasyondan etkilenmiş su kütleleri veya koruyucu önlem alınmazsa yakın gelecekte ötrofikasyondan etkilenebilecek su kütlelerini içine alır.
Ötrofikasyondan etkilenmiş su kütleleri veya koruyucu önlem alınmazsa yakın gelecekte ötrofikasyondan etkilenebilecek su kütlelerini kapsayan "kirlenmiş suların" havzalarında nitrattan zarar görebilir bölgeler oluşturulmalıdır.
Marmara Denizi'nde Körfezler
Kocaeli BB verilerine göre (2007-2019) İzmit orta ve dış körfezde özellikle kış döneminde klorofil-a açısından artış trendi gözlenmiştir.
Aynı dönemde, yüzey sularında NOx artışı belirgindir. Aynı veri setleri alt sular açısından incelendiğinde körfez boyunca Si artışı mevcuttur. PO4 ve NOx ise sadece iç körfezin >20 m sularında artmaktadır.
Körfezin diğer bölgelerinde ise alt sularda P ve N açısından zenginleşme izlenmemiştir. ÇO alt sularda azalma veya artma yöneliminde değildir.
Seki disk derinliğinin ise körfez boyunca, özellikle de orta ve dış körfezde artış eğilimindedir.
Gemlik körfezindeki istasyonda yüzey sularında NOx değerlerinde azalma izlenmektedir. Körfezin dış bölgesinde PO4 artış eğilimindedir. Burada ayrıca klorofil-a‘nın da artış eğilimde (yılda 1 µg/L seviyesinde) olduğu görülmektedir.
Deniz trafiği, kentsel atık sular ve yağışla beraber akışa geçen sular diğer kirletici unsurlardır.
Liman, tersane gibi tesislerin inşası, kapasitelerinin arttırılması gibi denizcilik faaliyetleri ve sedimanda oluşan birikim sonucunda ihtiyaç duyulan dip çamuru tarama ve boşaltım faaliyetleri ile sedimanda bulunan besin elementlerinin su kolonuna taşınarak ortamdaki kirliliği arttırabilmektedir.
Gemlik hem sanayi ve ticaret hacminin hem de tarımsal faaliyetlerin yoğun olduğu bir şehirdir.
Nilüfer Çayı üzerine yapılan çalışmada; N ve P açısından IV. sınıf su kalitesi özelliği göstermektedir. Yani bölgeden Marmara Denizi'ne besin elementleri taşınması sözkonusudur.
Bandırma Körfezi,
Türkiye'de üretilen gübrenin yüzde 15'i ve beyaz etin yüzde 22'si Bandırma ilçesinde üretilmektedir
Bandırma sahilde fosfor besin elementi diğer kıyılardan çok yüksektir.
![]()
Şekil 1 2014-2019 örnekleme dönemlerinde toplam fosfor (TP) yüzey suyu ortalama konsantrasyonları (0-10 m) (TP için 1 µM/L = 31 µg/L'e eşittir)
Özellikle gübre fabrikası kaynaklı olduğu düşünülen yüksek toplam fosfor (TP) konsantrasyonları beraberinde birincil üretimin miktarında artış olup, bunu klorofil-a (klo-a) değerlerinde artıştan gözlemlemek mümkündür.
TP ve Klo-a konsantrasyonları kış mevsiminde Tablo 2'de verilen sınır değerlerine göre sahillerde ötrofik – hipertrofik koşulların hakim olduğunu göstermektedir.
Yaz mevsiminde de çoğunlukla yüksek TP değerleri, körfez suları mezotrofik olarak sınıflandırılmıştır.
Erdek Körfezi
Erdek Körfezi'ne Biga ve Gönen nehirleri dökülmektedir. Nehirlerin taşıdığı kirlilik yüklerinin etkisi altındadır.
Erdek Körfezi, noktasal ve yayılı kaynakların yanı sıra turizm kaynaklı kirlilik baskısı altındadır.
Erdek'te özellikle kış ve yaz nüfusu arasındaki dalgalanmalar atık su arıtma tesislerinin çalışmasını zorlaştırmaktadır.
Erdek Körfezi'ne kıyısı olan yerleşim bölgelerinin atık suları ön arıtım işleminden sonra derin deniz deşarjı ile Marmara Denizi'ne verilmektedir.
İzmit Körfezi
İzmit Körfezi, yarı kapalı bir su havzası özelliğinde sahiptir.
İzmit körfezi yoğun yerleşim ve sanayileşme baskısı altındadır.
Körfezin su kalitesi, iç bölgelerden dereler vasıtasıyla gelen tarımsal, evsel ve endüstriyel kirlilik gibi çeşitli kaynaklardan olumsuz etkilenmektedir.
Özellikle azot besin elementi kaynağı körfez için önemli bir baskı kaynağı oluşturmaktadır.
Körfez kış mevsiminde sistem yüksek konsantrasyonda klorofil-a ve orta seviyede TP ölçülmektedir. Körfez ötrofik koşulların etkisi altındadır.
Yaz mevsiminde ise oligotrofik koşullar sıcaklıkların yükselmesi ve yağışların azalması sonucunda düşük klorofil-a konsantrasyonları ve seki disk derinlikleriyle karakterize edilmiştir.
Marmara Denizi'nde bulunan körfezlerin hepsi hassas alan statüsündedir. Söz konusu illerde, atık su arıtma tesislerinin teknolojisinin geliştirilmesi gerekmektedir. Bu gibi körfezlerde sıfır deşarj gibi önlemler alınabilir.
Marmara Denizi Kıyıları
"Silivri-Tekirdağ İli Arası Hassas Su Kütleleri İle Bu Kütleleri Etkileyen Alanların Belirlenmesi Ve Su Kalitesinin İyileştirilmesi Hakkında Yönetmeliği"nde hassas alan olarak belirlenmiştir.
Ancak, 2014-2019 yılı sonuçları incelenerek yapılan değerlendirmede su kalitesinin mesotrofik olduğu belirtilmiştir.
Şu anda, bu bölge üzerinde orta yoğunlukta evsel atık su baskısı mevcuttur. Bu bölge üzerinde tekstil, deri, kağıt, boya, plastik ve benzeri sanayi tesislerinin kirlilik yüksek atık suların deşarjları söz konusudur ve buna bağlı olarak yüksek debili atık suların girişi ile ilgili sahilin hassas alan statüsüne dönmesi kuvvetle muhtemeldir.
Harita 1'de mavi ile gösterilen 13 nolu bölgenin yeşil alanla ilgili gerekli inceleme acilen yapılmalıdır. Çünkü bu bölgeden sanayi tesislerinin kirlilik yükleri yüksek atık suları gelmektedir.
Azot ve fosfor besin elementleri açısından Bandırma, İzmit ve Gemlik Körfezi ortalamaları kış ve ilkbahar dönemlerinde en yüksek değerleri göstermiştir.
Susurluk bölgesindeki, MRM01, 02, 03, MRM20 ve 21 (Giriş Haritası), özellikle kış dönemlerinde yüksek değerler sergilemektedir ki bu da yağışlar nedeni ile nehir girdileri ile besin maddesi taşınımlarındaki artışlara bağlanabilir.
Bunların dışında Silivri- B.Çekmece-K.Çekmece ilkbahar dönemlerinde yüksek değerlere ulaşmıştır.
C:N:P, N:P, N:Si oranları
Çözünmüş ve partikül haldeki besin tuzları ve organik madde oranları (C:N:P, N:P, N:Si) ve bunların zamana bağlı değişimleri su kolonu madde çevrimlerinin anlaşılması için önemli birer göstergedir.
Örneğin ışıklı tabakada fitoplankton üremesinin baskın olduğu partikül madde oranları baskı altında olmayan açık deniz/okyanus suları için Redfield oranı olarak bilinen C:N:P=106:16:1 oranı ile tanımlanır.
Bu oran oksijenli koşullarda bozulmanın gerçekleştiği doğal sistemlerde N:P oranı 16:1 olarak korunur. Bu orandan sapmalar, ortamın besin maddelerince zenginleşmesi veya fakirleşmesi anlamı taşıyabilir ve askıdaki canlı/cansız madde içeriğine göre değişiklikler gösterebilir.
Kıyı ve baskı altındaki sularda, tatlı su girdilerinin bulunduğu alanlarda farklılıklar gösterir. Örneğin artan evsel atıklarla N/P oranı artar; baraj yapımları Si/N oranını düşürür; temiz (doğal, etkilenmemiş) nehirlerde Si/N/P oranı yüksektir.
Bu bulgular, sistemin yıl boyu azot açısından fakir olduğunu işaret eder. ÇIN:PO4 oranlarına bakmak ise daha akılcı olabilir.
Bu nedenlerle, besin maddelerinin izlenmesinin yanı sıra partikül madde içeriğindeki N:P değerlerini bilinmesi önemlidir.
Sistemde özellikle fitoplankton büyüme dönemlerinde Karadeniz kaynaklı silikat açısından zengin suların varlığı bilinmektedir. Ayrıca sığ istasyonlarda karışımın da etkisi ile alt sudan veya sedimandan yüzey sularına taşınmaktadır.
Bu sebeplerle ve oranlar dikkate alındığında Si açısından sınırlayıcılık olmadığı düşünülür.
Orto-fosfat İzmit İç Körfez istasyonun alt su kolonunda artış göstermiştir. NOx ve Si açısından ise İzmit Körfezi istasyonlarının yüzeyinde artış eğilimi belirlenmiştir.
Gemlik Dış Körfezi istasyonunda, Orto-fosfat ve klorofil-a değerlerinde artan trend tespit edilmiştir, ancak NOx ve Seki Disk derinliği açısından bir trend bulunamamıştır.
Bandırma Körfezi dış istasyonundaki bütün ölçülen parametrelerde (PO4, NOx, Klo-a, SDD) bir yönelim tespit edilememiştir.
Çanakkale Boğazı'na yakın batı Marmara istasyonlarında (MD10A, MD13A) PO4 te belirgin yönelim tespit edilmezken NOx değerlerinde azalma eğilimi izlenmektedir. MD10A'da ise klorofil artma eğilimindedir.
Marmara Denizi 2014-2019 izleme çalışmaları yüzey NOx (NO2+NO3-N) konsantrasyonları, ölçümü yapılan sahillerde, 0,02-15,9 µM aralığında (Şekil 2), sahillerin dışında kalan derin deniz deşarjı yapılan yerlerde (açık deniz) kıyılara göre daha az salınım göstererek 0,04-1,19 µM aralığında değişmiştir.
NOx değerleri kış döneminde tüm kıyı suları, Boğaz bölgesi ve körfezlerde yüksektir. İlkbahar döneminde birincil üretimdeki kullanımları, karışım özellikleri nedeni ile değerler azalmış yaz döneminde ise özellikle azotlu bileşikler en düşük seviyelere inmiştir.
Marmara Denizi'nin bir iç deniz olması sebebiyle dış baskılardan diğer denizlerimize göre daha fazla etkilenmektedir.
Özellikle kış dönemindeki salınımlar yağış miktarı dolayısıyla artan nehir yükü ve rüzgar yönü-hızı gibi meteorolojik farklılıklardan kaynaklanabilir. 2015 yılında ölçülen görece yüksek konsantrasyonlar Susurluk Çayı'nın etkisinde olan ölçüm yapılan sahillerde (1-2-19-21) ve İstanbul Boğazı aracılığıyla Karadeniz yüzey suyu etkisinde olan sahillerde (11-12-13) (Harita 1) görülmüştür. Erdek Körfezi'ndeki (6) (Harita 1) görece yüksek değerler dikkat çekicidir.
![]()
Şekil 2. 2014-2019 örnekleme dönemlerinde NO2+NO3-N (NOx) SYB yüzey suyu ortalama konsantrasyonları (0-10 m) (NOx için 1 µM/L = 14 µg/L'e eşittir)
Kış aylarında kıyılarda ölçülen NOx değerlerinin ortalama 2-3 µM/L (28-42 µg/L) arasında değiştiği görülmektedir.
Ölçülen bu verileri Tablo 2'de verilen değerlerle karşılaştırdığımız zaman kış aylarında NOx bakımından Marmara denizi kıyılarının Ötrofik olduğu görülmektedir.
Fitoplankton biyokütlesi göstergesi olan klorofil-a konsantrasyonları, 2014-2019 döneminde, ölçüm yapılan sahillerde 0,25-12,31 µg/L aralığında tespit edilmiştir (Şekil 3).
Klorofil-a seviyeleri hem besin maddesinin artış/azalış hem de ışık durumunun uygunluğuna göre değişir. Kış karışımları nedeni ile yüzey sularındaki besin maddesi artışı klorofil-a seviyelerinin de yükselmesine neden olmuştur.
İlkbahar sezonunda da yüksek değerlere rastlanmış ancak kış döneminde -örneklenen dönemler içinde- en yüksek değerlere ulaşılmış olup bu durum fitoplankton bolluk değerlerinde de benzer şekilde seyretmiştir.
Diğer yandan, en yüksek konsantrasyonlar genellikle su dolaşımının yavaş olduğu körfezlerde görülmüştür.
Yaz döneminde ise daha düşük değerlere rastlanmış ancak baskıların yoğun olduğu bölgelerde yüksek seviyelere ulaşılmıştır.
![]()
Şekil 3. 2014-2019 örnekleme dönemlerinde SYB ve Marmara Denizi kuzey ve güney açık sularında saptanan klorofil-a yüzey suyu ortalama konsantrasyonları
![]()
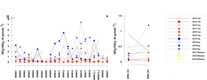
Şekil 4. Marmara Denizi kıyı su kütlelerinde 2014-2019 döneminde ölçülen (0-10 m) kış: mavi (2015, 2016, 2018, 2019), ilkbahar: yeşil (2017, 2018, 2019) ve yaz: kırmızı (2014, 2015, 2016, 2017, 2018, 2019) dönemi ortalamaları ve std.sapmaları
Marmara Denizi kıyı sularının ötrofikasyon değerlendirilmesi
Kıyı su kütlelerinde tüm izleme dönemlerinin kış, ilkbahar ve yaz ortalamaları ile standart sapma değerleri Şekil 4'de verilmiştir.
İzleme yapılan kıyıların çoğunda kış ve ilkbahar dönemlerinin (fitoplankton için büyüme dönemleri) daha yüksek değerlere sahip olduğu görülmektedir.
MRM04 (Bandırma) ve MRM16/MRM17/MRM19 (Giriş Haritası) (İzmit ve Gemlik Körfezleri) ortalamaları kış ve ilkbahar dönemlerinde en yüksek değerleri göstermiştir.
Ayrıca, Susurluk bölgesindeki MRM01, 02, 03, MRM20 ve 21'in (Giriş Haritası) özellikle kış dönemlerinde yüksek değerler sergilemektedir ki bu da yağışlar nedeni ile nehir girdileri ile yayılı kaynaklardan besin maddesi taşınımlarındaki artışlara bağlanabilir.
Bunların dışında MRM10 ve 11 (Giriş Haritası) (Silivri- Büyük Çekmece-Küçük Çekmece) ilkbahar dönemlerinde yüksek değerlere ulaşmıştır.
![]()
Tablo 2. Marmara kıyı suları ötrofikasyon kriterleri (b)
(b) Notlar:
- Trofik seviye, oligotrofik seviyeden hipertrofik seviyeye doğru yükselir.
- Secchi disk derinliği tek başına belirleyici değildir.
- Parametrelerin her birinin farklı trofik seviyede çıkması durumunda klorofil-a belirleyicidir.
- Trofik seviyelerden en az iki parametrenin trofik seviyesinin aynı çıkması durumunda, bu trofik seviye geçerlidir. Ancak; klorofil-a parametresinin seviyesinin, neticesi aynı olan parametrelerden daha yüksek çıkması durumunda, klorofil-a belirleyicidir.
- Dört parametrenin dikkate alınması ve iki farklı trofik seviyenin çıkması durumunda (ikişer parametre için aynı trofik seviye) en yüksek trofik seviye geçerlidir.
- Mezotrofik su kalitesi sınıfının trofik seviye sınır değerleri aralığı geniştir. Bu sınıfın trofik seviye değerleri yüksek ve ötrofik su kalitesi sınır değerlerine yakın ise, bu su kütlesi ötrofik duruma meyilli olup, düzenli izlenmesi gereken sucul ortam olarak kabul edilir.
- Tabloda verilen su kalitesi sınıflandırmasının yapılması için besin elementi ölçümlerinin Aralık-Şubat (kış döneminde, eğer geç kış yaşanmış ise ilkbahar koşulları oluşmadan), klorofil-a ölçümlerinin Mart-Mayıs (ilkbahar dönemi), Secchi disk derinliğinin ilkbahar-yaz döneminde yapılması esastır. Tablodaki değerlerle karşılaştırma yapmak için 0-10 m değerlerinin ortalamasına başvurulur.
- Marmara Denizi'nde klorofil-a parametresi için ilkbahar ve sonbahar olmak üzere iki ayrı dönemde değerlendirme yapılır. Eğer veri bu dönemlerden bir tanesi için mevcutsa, değerlendirme ona göre yapılır. Her iki dönem için de verinin mevcut olması durumunda, yüksek trofik seviye klorofil-a parametresi açısından trofik seviyeyi belirler.
- NOx: Oksitlenmiş azotlu bileşikler (NO3-N + NO2-N
Trofik seviyelerden en az iki parametrenin trofik seviyesinin aynı çıkması durumunda, bu trofik seviye geçerlidir.
Ancak; klorofil-a parametresinin seviyesinin, neticesi aynı olan parametrelerden daha yüksek çıkması durumunda, klorofil-a belirleyicidir.
Marmara Denizi kıyı sularında, kış döneminde, klorifil-a seviyeleri 4 ila 6 µg/L arasında değişmektedir. Kış dönemine göre Marmara Denizi sahillerinde ötrofik şartlar hakimdir.
Marmara Denizi'ne noktasal belediye ve sanayi atık suları, Su Kirliliği Kontrol Yönetmeliği Tablo 22'de belirtilen sınır değerlerine göre derin deniz deşarjları devam ettiği ve gerekli denetimler yapılmadığı sürece kirlenme ve fitoplanton patlaması devam edecektir.
Az hassas alanlarda ön (fiziksel) arıtma yapılarak derin deniz deşarjı yapılan evsel atık suların kirlilik yükleri Tablo 3'da verilmiştir (yayılı kaynaklardan ve endüstriyel atık sulardan gelen kirleticiler dahil değil).
![]()
Tablo 3 Su kirliliği kontrol yönetmeliği tablo 22'e göre derin deniz deşarjları
Marmara Denizi'ne Karadeniz'den, Akdeniz'den azot ve fosfor besin elementleri yanında ve Marmara havzası çevresindeki evsel atık su kaynaklı azot ve fosfor besin elementleri yükleri Şekil 5'de verilmiştir.
![]()
Şekil 5. Marmara Denizi'ne azot ve fosfor besin elementleri deşarjı
Şekil 5 incelendiği zaman Marmara havzasındaki özellikle evsel atık sularla kirletilmektedir.
Endüstriyel ve yayılı atık sularla gelen azot ve fosfor besin elementleri kirlilik yükleri ayrıca hesaplanmalıdır.
Marmara Denizi'nin tüm kıyıları hassas alan ilan edildiği zaman evsel ve endüstriyel tüm atık sular ileri kademe (azot ve fosfor dahil) arıtılacaktır.
Hassas alanlarda evsel atık sular ileri kademe arıtılıp derin deniz deşarjı yapıldığı zaman arıtılmış atık suların kirlilik yükleri Tablo 4'te verilmiştir (yayılı kaynaklardan ve endüstriyel atık sulardan gelen kirleticiler dahil değil).
![]()
Tablo 4. Hassas alan sınır değerlerine sağlayacak şekilde atık sular arıtıldığında kirlilik yükleri
Tablo 3 ile Tablo 4'te verilen değerler karşılaştırıldığı zaman evsel atık sulara ait BOI5, KOI, TN ve TP kirlilik yüklerinde sırasıyla yüzde 90, yüzde 68, yüzde 75 ve yüzde 90 oranında azalma olur.
Marmara havzasındaki sanayi tesislerine ve yayılı kaynaklara ait kirlilik yüklerinin ayrıca tespit edilmesi gereklidir.
Marmara havası içindeki evsel ve endüstriyel atık su ileri kademe arıtma tesisi yatırımı 1 ila 1,5 yıl içinde yapılabilir.
İleri kademe atık su arıtma yatırım maliyeti, toplam atık su arıtma maliyetinin %10'u ilave yatırım gerektirir.
Marmara havzasındaki noktasal (evsel ve endüstriyel) ve yayılı atık sular ileri kademe arıtıldığı zaman deniz suyu kalitesi 1 ila 2 yıl içinde iyileşmeye başlar. Ve Marmara Denizi'nde deniz salyası oluşmaz.
Hassas alan çalışmasının yapılması
Marmara Denizi'nde hassas alan ve az hassas alan belirleme çalışmaları 2014-2015 yılları arasında yapılan ölçüm verileri esas alınarak belirlenmiştir.
Belirlenen hassas ve az hassas alanların yapılacak/yapılan izleme çalışmaları sonucuna göre dört yılda bir gözden geçirilmesi esastır.
Belirlenen su kütlelerinin maruz kaldığı baskı ve etkiler nicelik olarak tespit edilir.
- Noktasal (evsel ve sanayi atık suları) baskılar
- Yayılı (tarım, hayvancılık gibi) baskılar
Marmara Denizi'nde ilk yapılan çalışmaların üzerinden 6 yıl geçmiştir. Bu çalışmaların yenilenmesi gereklidir.
Özellikle Marmara denizi sahillerinde deniz salyasının hakim olduğu ve önlem alınması gereken bu günlerde bu çalışmanın acilen yapılması fevkalade önemlidir.
Deniz dibine çöken deniz salyaları, hızla ortamın oksijenini tüketmektedir. Deniz dibinde oksijensizlik artmaktadır.
Oksijensizlikten ve salyalardan dolayı denizlerde ciddi balık ölümleri olmaktadır. Balıkçılık sektörü olumsuz etkilenmektedir.
Deniz salyası, Marmara Denizi turizmine darbe vurmaktadır.
Musilaj (deniz salyası) Marmara Denizi'nde gemilerin soğutma sistemlerini tıkamakta ve sık sık temizlik yapmak zorunda kalınmaktadır.
Haziran ayında da deniz salyası oluşmaya devam ederse Marmara denizi için acil eylem planı uygulamaya konmalı.
Aksi halde ölü denizle karşı karşıya kalınabilir.
Marmara Denizi'nde aşırı fitoplanton çoğalmasını ve bunların deniz salyası salımlamasını önlemek için Marmara Denizi'ne kıyısı olan belediyeler ve sanayi tesisleri atık sularını ileri kademe arıtması gereklidir.
Kısaca Marmara Denizi'nin tüm sahilleri ve Marmara'ya sularını veren tüm nehir ve dereler yatakları hassas alan ilan edilmelidir.
Denetim, izleme ve yaptırım
Marmara Denizi'ne deşarj edilen tüm atık sular online izlenmeli, raporlamalı ve hassas alanı sınır değerlerin üzerinde deşarj yapan belediyeler ve sanayilere yaptırımlar uygulanmalıdır.
Bu denetim, izleme ve raporlama Tablo 1'de verilen Tablo 2'deki sınır değerlerinin üzerinde atık su deşarjı yapanlara Çevre ve Şehircilik Bakanlığı yaptırım uygulanmalıdır.
*Bu makalede yer alan fikirler yazara aittir ve Independent Türkçe’nin editöryal politikasını yansıtmayabilir.
The Independentturkish




